找回密码
 立即注册

QQ登录

只需一步,快速开始

快捷登录

戒友经验交流群

关注:1

所属分类: 戒友圈 戒友圈 戒友交流 戒友经验交流群

本版主题: 54667

今日更新: 0

一起交流吧,经验分享
发布新主题

一年总结,请各位前辈指点

13 / 221
tafi 发表于 2024-7-18 21:19:37 | 显示全部楼层 |阅读模式
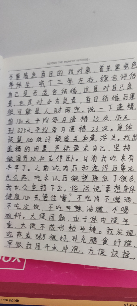
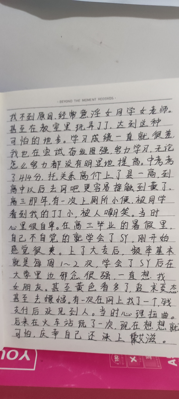
”一年总结,请各位前辈指点

”一年总结,请各位前辈指点

”一年总结,请各位前辈指点

”一年总结,请各位前辈指点

”一年总结,请各位前辈指点

”一年总结,请各位前辈指点

”一年总结,请各位前辈指点

”一年总结,请各位前辈指点

”一年总结,请各位前辈指点
Tips: 戒友之家域名更改为- www.jiebbs.cn 感谢您的支持,官方指导微信/QQ 搜索: 3912800 添加好友,谨防上当受骗!
回复

使用道具 举报

fuchou 发表于 2024-7-18 21:20:17 | 显示全部楼层
”一年总结,请各位前辈指点

”一年总结,请各位前辈指点

”一年总结,请各位前辈指点

”一年总结,请各位前辈指点
Tips: 戒友之家域名更改为- www.jiebbs.cn 感谢您的支持,官方指导微信/QQ 搜索: 3912800 添加好友,谨防上当受骗!
回复 支持 反对

使用道具 举报

心水可人 发表于 2024-7-18 21:21:03 | 显示全部楼层
写得挺好的,建议搞成电子版
Tips: 戒友之家域名更改为- www.jiebbs.cn 感谢您的支持,官方指导微信/QQ 搜索: 3912800 添加好友,谨防上当受骗!
回复 支持 反对

使用道具 举报

wanyg 发表于 2024-7-18 21:21:42 | 显示全部楼层
总结的非常好,继续保持,加油!
Tips: 戒友之家域名更改为- www.jiebbs.cn 感谢您的支持,官方指导微信/QQ 搜索: 3912800 添加好友,谨防上当受骗!
回复 支持 反对

使用道具 举报

beier 发表于 2024-7-18 21:22:24 | 显示全部楼层
顶!
Tips: 戒友之家域名更改为- www.jiebbs.cn 感谢您的支持,官方指导微信/QQ 搜索: 3912800 添加好友,谨防上当受骗!
回复 支持 反对

使用道具 举报

moguichibang008 发表于 2024-7-18 21:22:55 | 显示全部楼层
字写的很好很整洁
Tips: 戒友之家域名更改为- www.jiebbs.cn 感谢您的支持,官方指导微信/QQ 搜索: 3912800 添加好友,谨防上当受骗!
回复 支持 反对

使用道具 举报

likaixin 发表于 2024-7-18 21:23:44 | 显示全部楼层
顶一下加油
Tips: 戒友之家域名更改为- www.jiebbs.cn 感谢您的支持,官方指导微信/QQ 搜索: 3912800 添加好友,谨防上当受骗!
回复 支持 反对

使用道具 举报

bg3ofd 发表于 2024-7-18 21:24:20 | 显示全部楼层
加油
Tips: 戒友之家域名更改为- www.jiebbs.cn 感谢您的支持,官方指导微信/QQ 搜索: 3912800 添加好友,谨防上当受骗!
回复 支持 反对

使用道具 举报

sgq220 发表于 2024-7-18 21:25:10 | 显示全部楼层
首先,要明确戒色是一个长期的过程,需要持续的努力和坚定的决心。以下是一些可以帮助你戒色的建议:1. 了解戒色的重要性:你需要明白为什么你要戒色,认识到它对你的身体、心理和学习的影响。只有当你真正理解这个问题的严重性时,才会有足够的动力去克服这个问题。2. 发展健康的兴趣爱好:找到一些你喜欢的事情去做,比如运动、音乐、阅读等等。这些活动不仅可以分散你的注意力,还可以让你的生活更加充实和有意义。3. 与家人和朋友交流:与他们分享你的想法和感受,寻求他们的支持和帮助。有人的陪伴和支持会让你更容易坚持下去。4. 设置目标并逐步实现:制定一个可行的计划,包括具体的目标和时间表。这样你可以看到自己的进步,也会更有信心和动力继续前进。5. 控制上网时间和频率:尽量避免接触那些会引起你欲望的信息,例如限制使用社交媒体的时间。同时也要注意不要在晚上熬夜上网,因为这时候人的意志力比较薄弱。6. 学习冥想或其他放松技巧:学习如何减轻压力和控制思维,这有助于你在冲动或诱惑面前保持冷静和清醒。7. 注意饮食和生活习惯:避免过度食用刺激性食物,如糖分过高的甜食等。保持良好的睡眠习惯,保证充足的休息时间。8. 最后,也是最重要的一点是要有耐心和恒心。戒色不是一蹴而就的过程,可能会遇到挫折和困难。但只要你不放弃努力,相信自己能够战胜问题,最终你会取得成功。
Tips: 戒友之家域名更改为- www.jiebbs.cn 感谢您的支持,官方指导微信/QQ 搜索: 3912800 添加好友,谨防上当受骗!
回复 支持 反对

使用道具 举报

ziqing5301 发表于 2024-7-18 21:25:19 | 显示全部楼层
希望能给到戒友们帮助
Tips: 戒友之家域名更改为- www.jiebbs.cn 感谢您的支持,官方指导微信/QQ 搜索: 3912800 添加好友,谨防上当受骗!
回复 支持 反对

使用道具 举报

12下一页
发表新帖 客服
微信
手机
回到顶部